Magnetic and Quantum Materials Research
The NREL materials discovery and design work on magnetic and quantum materials focuses on developing novel materials for a range of applications—including permanent magnets, multiferroics, and low-temperature quantum materials—in collaboration with theory and computations.
Magnetic Materials Discovery
The ferromagnetic materials found in many energy technologies, such as wind turbines and electrified vehicles, contain critical rare earth elements that are sensitive to supply chain disruptions. Discovering competitive magnetic materials that do not contain rare earth elements remains a compelling, if elusive, research objective. Unfortunately, and in contrast to other technological materials such as semiconductors, the materials design space for new ferromagnets (and magnetic materials in general) is relatively limited. This is in part due to the small palette of materials chemistries that are compatible with metallurgical processing used in industrial magnetic materials preparation, but this should not preclude materials discovery that might spur downstream innovation in materials processing.
We are working to understand the various crystal chemistry features that lead to high-performance magnetic materials, with the ultimate goal of developing design strategies that can be applied to the discovery of new magnetic phases. To achieve this, we are systematically studying the stability, synthesis, and properties of different classes of novel and underexplored magnetic materials. We are pursuing several research themes under the broad umbrella of magnetic materials discovery, such as developing structure-chemistry-property-function relationships within promising classes of magnetic antiperovskite nitrides, adapting our team's existing high-throughput semiconductor discovery pipeline to predict and synthesize new/undiscovered magnetic phases, and advancing magnetic materials synthetic methods to provide access to otherwise intractable phases.

For more information, see:
Thin Film Synthesis, Structural Analysis, and Magnetic Properties of Novel Ternary Transition Metal Nitride MnCoN2, Physical Review Materials (2024)
“Mn3AlN” Is Really Mn4N, Inorganic Chemistry (2024)
Emerging Magnetic Materials for Electric Vehicle Drive Motors, Materials Research Bulletin (2024)
Combinatorial Synthesis of Cation-Disordered Manganese Tin Nitride MnSnN2 Thin Films with Magnetic and Semiconducting Properties, Chemistry of Materials (2023).
Next-Generation Multiferroic Materials
Multiferroics, functional materials that simultaneously display two normally independent properties (ferroelectricity and magnetism), are a highly useful yet underdeveloped class of materials. There is a dearth of single-phase multiferroics, and only one operates at room temperature. Addressing these needs has enormous potential to increase the spatial and power efficiency of electronic applications such as data storage and to enable novel spintronic devices.
We have several projects working on next-generation multiferroics based on novel nitride materials: nitride perovskites and aluminum nitride (AlN)-based materials. The relatively underexplored nature of the nitride phase space opens a host of possible avenues for materials chemists to target novel compounds with useful properties. We aim to synthesize and characterize new members of the emerging family of nitride perovskites containing rare earth cations, which are calculated to be good ferroelectrics and magnetic. We also work both experimentally and computationally on developing design rules for incorporating other elements into AlN, which forms in the polar wurtzite crystal structure, to induce functionalities such as ferroelectricity and magnetism.
External collaborators in these efforts include Colorado School of Mines.

For more information, see:
GdWN3 Is a Nitride Perovskite, Applied Physics Letters (2024)
Structural and Optoelectronic Properties of Thin Film LaWN3, Physical Review Materials (2023)
High-Throughput Selection and Experimental Realization of Two New Ce-Based Nitride Perovskites: CeMoN3 and CeWN3, Chemistry of Materials (2022)
Synthesis of LaWN3 Nitride Perovskite With Polar Symmetry, Science (2021).
Low-Temperature Quantum Materials
Many materials with strongly correlated electrons exhibit complex behavior due to quantum-mechanical effects, including interesting magnetic and/or electronic properties. These behaviors often occur at low temperatures and may be exploited in novel energy-relevant applications such as spintronics and quantum computing. We are interested in synthesizing and characterizing novel quantum materials, particularly those that exhibit exotic behavior such as geometric magnetic frustration, superconductivity, and emergent behavior at low temperatures and/or in applied magnetic fields.

For more information, see:
Synthesis, Crystal Structure, and Physical Properties of the Eu(II)-Based Selenide Semiconductor: EuHfSe3, Journal of Materials Chemistry C (2024)
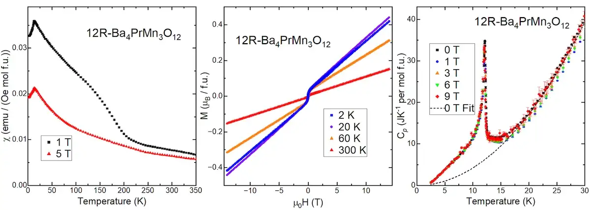
Influence of the Rare Earth Cation on the Magnetic Properties of Layered 12R-Ba4M4+Mn3O12 (M = Ce, Pr) Perovskites, Chemistry of Materials (2024)
High-Throughput Selection and Experimental Realization of Two New Ce-Based Nitride Perovskites: CeMoN3 and CeWN3, Chemistry of Materials (2022).
Projects
U.S. Department of Energy's (DOE's) Office of Science, Basic Energy Sciences (BES), and NREL's Laboratory Directed Research and Development (LDRD) program have funded research projects on magnetic and quantum materials.
This DOE-BES project's goal is to develop the synthesis science behind earth-abundant ferromagnetic nitrides, both in thin film and bulk forms.
This LDRD project explores novel potential multiferroic materials based on tetrahedral nitrides, inspired by the recent discovery of ferroelectricity in Al1−xScxN.
DOE's Critical Materials Innovation Hub is funding this project on developing nitride permanent magnets.
This LDRD project explored a family of tunable topological semimetals based on MgTa2N3–MgNb2N3 alloys, which exhibit high air and thermal stability while being structurally compatible with other electronic materials for epitaxial integration.
Rebecca Smaha's Director's Fellowship LDRD project aimed to synthesize and characterize a novel family of potentially multiferroic materials: nitride perovskites containing rare earth cations.
Research Collaborators
Stephan Lany – Theoretical/computational (NREL)
Jamie Neilson – Bulk synthesis (Colorado State University)
Wenhao Sun – Computational predictions (University of Michigan)
Contacts
Share
Last Updated July 8, 2025